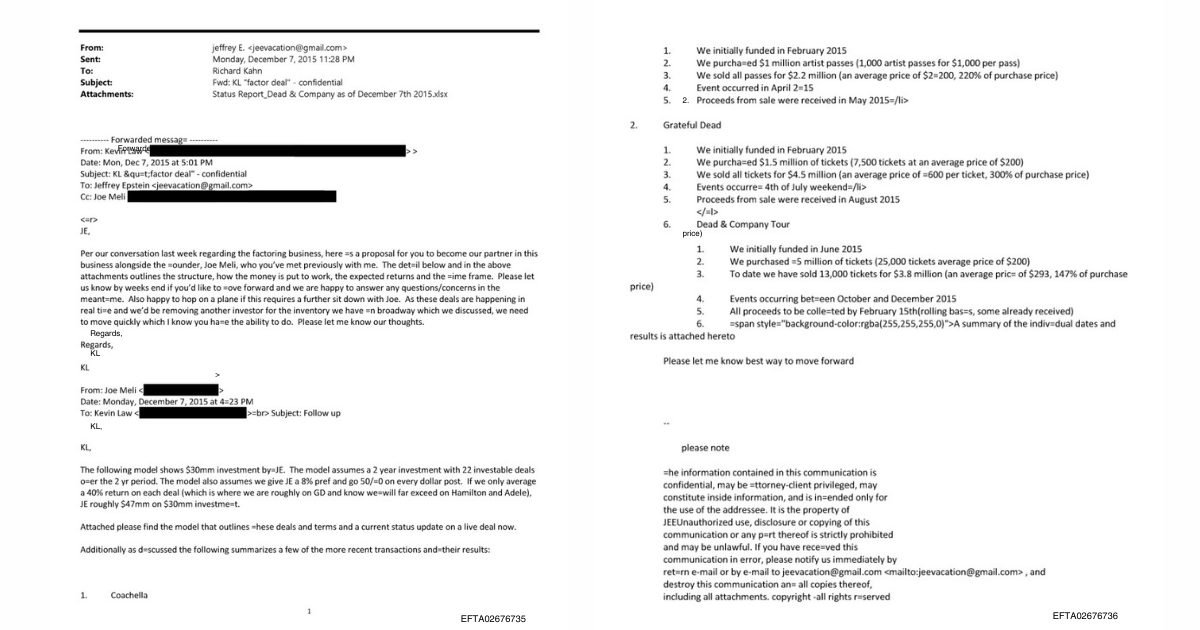
Epstein Files Show Ponzi Scheme Claimed To Resell Dead & Company, Fare Thee Well, Coachella Tickets
Epstein Files Show Ponzi Scheme Claimed To Resell Dead & Company, Fare Thee Well, Coachella Tickets Live For Live Music
Read Full Article
0 upvotes
5 views
Back to all news
